25 ++ Th }CN Vs 241447
Apx Volt Thc Molecule Nvs Glassworks
Th }CN Vs
Th }CN Vs-


Thc Ipv6 V3 8 Release Ipv6 Attack Toolkit Penetration Testing


Evolutionary Genomics Of Mammalian Lung Cancer Genes Reveals Signatures Of Positive Selection In Apc Rb1 And Tp53 Sciencedirect


Sync 30 Thc Mango Myrcene Oil Cannabisnl


Thc Design Named To 19 Leaflink List Thc Design


Thorn Letter Wikipedia


Type 1 Diabetes In Children And Adolescents A Position Statement By The American Diabetes Association Diabetes Care


Cbd Vs Thc Properties Benefits And Side Effects


Early 5 Ht6 Receptor Blockade Prevents Symptom Onset In A Model Of Adolescent Cannabis Abuse Embo Molecular Medicine


Cbd Proliferation Threatens Servicemember Careers 173rd Fighter Wing Article Display


The Korean Journal Of Parasitology


How To Choose The Right Cbd Oil Touchstone Essentials


Publications Theis Lab


Effects Of Copy Number Variations On Brain Structure And Risk For Psychiatric Illness Large Scale Studies From The Enigma Working Groups On Cnvs Human Brain Mapping X Mol


Impact Of Cannabidiol On The Acute Memory And Psychotomimetic Effects Of Smoked Cannabis Naturalistic Study The British Journal Of Psychiatry Cambridge Core


Cookies And Cream Aka Cookies N Cream Marijuana Strain Information Leafly


Literacy Speaks Kit 1 Product Info Order Here


500mg Full Spectrum Hemp Delivered Cbd Topical Cream Cross Country Wellness


Cbd Vs Thc Why Thc Gets You High And Cbd Doesn T Weedmaps


Magnetic Elektromotoren Thc 8awdk 008 Linear Actuator Recycledgoods Com


10 Stokes 39 Theorem And Surfac E Integrals Of Vector Fields A Stokes 39 Theorem F Dr B Let S Be Th Ky Plane Draw A Sketch Of Curve C In The Xy Plane Et Be The


Is Delta 8 Thc Legal In Georgia New Laws


Where Does The Thc Come From On This Spec Sheet For Krypton Chemistry


Delta 8 Thc Gummies Straight 8 Assorted New Standard Hemp Company


Stamp 1864 Netherlands 15c Orange Unused Cert Th C Bakker 1864 Collecting Stamps Postbeeld Online Stamp Shop Collecting


Letter Formation The Ot Toolbox


What Is Thc Tetrahydrocannabinol Live Science


History


Calculating Molar Mass And Number Of Moles Worked Example Video Khan Academy


Page 7 V L C Cs High Resolution Stock Photography And Images Alamy


Dothistroma Pini A Forest Pathogen Contains Homologs Of Aflatoxin Biosynthetic Pathway Genes Applied And Environmental Microbiology


State Medical Marijuana Laws


Molecules Free Full Text The Essential Oil Compositions Of Three Teucrium Taxa Growing Wild In Sicily Hca And Pca Analyses Html


Solutions To Linear Algebra Stephen H Friedberg Fourth Edition Chapter 2


Thc Free Cbd Oil Hempextract 24 Swiss Extract Uweed Uweed Eu


Apx Volt Thc Molecule Nvs Glassworks


Thc Ipv6 V3 8 Release Ipv6 Attack Toolkit Penetration Testing


Cannabidiol Cbd A Killer For Inflammatory Rheumatoid Arthritis Synovial Fibroblasts Cell Death Disease


Receptra Serious Relief Turmeric 0 Thc Tincture 33mg Serving 1000m Hempology Cbd Store


29 Daily List Of December 14th Contd Daily List Of December 15th No 5443 In Eleven Parts Weekly Casualty Lists Weekly List No British Military Lists National Library Of Scotland


Needle Amp Knot Binder Boilerplate Tied Up Springerlink


Thiophene Bridged Donor Acceptor Sp2 Carbon Linked 2d Conjugated Polymers As Photocathodes For Water Reduction Xu 21 Advanced Materials Wiley Online Library


Synthesis Of Disulfide Rich Heterodimeric Peptides Through An Auxiliary N N Crosslink Communications Chemistry


Current Astrochemistry Publications


Papers Past Newspapers Press 12 January 1907 Page 13 Advertisements Column 4


Cbd Vs Thc Differences Benefits And Effects


Solved Example Find I T Assume I 0 0 And Vo 0 0 5v Chegg Com


Higher Order Structural Interrogation Of Antibodies Using Middle Down Hydrogen Deuterium Exchange Mass Spectrometry Chemical Science Rsc Publishing Doi 10 1039 C5sc034e


Vegan Gummies Edibles Candies Vegan Cbd Candy


The Zhengtao Xu Group Of Open Fr


Apx Volt Thc Molecule Nvs Glassworks


Aurora Drift Thc Citrus Shot H Bev 10mg Thc X 45ml Nova Cannabis


Lesson Cannabis Use In Pain Patients


T H O M A S V S C U L L I N S A I A Tom Cullins


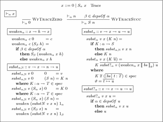
User


Soil Modelling A Simplified Soil Profile S U V S Th Based On Download Scientific Diagram


Cb Scientific Test Kits Thc Cbd And Edible Growers N Smokers


News Smokingcats Discreet Ship From Texas


Rigid Body Dynamics F P H G Ppt Download


Ideal Gas Law Wikipedia


1kgefz2agqnxxm


How To Read Cbd Product Lab Test Results Full Spectrum Full Plant


Vazkii V Ybir Nv Vg F Yrtvg Gur Bayl Tnzr Gung F Znqr Zr Ungr N Punenpgre Fubxb Gb Gur Cbvag Jurer V Unq Gb Trg Hc Naq Pel Sbe N Ovg


Kalki Cbd Water Soluble Thc Free Cbd Of Lawrence


Foothills Cbd Cbd Distillate Thc Free Buy Now


Atg8 Family Proteins Act As Scaffolds For Assembly Of The Ulk Complex Sequence Requirements For Lc3 Interacting Region Lir Motifs Sciencedirect


Weed Gifts For Him Thc Chemical Structure Aluminum Wallet Carbonklip


Specific Heats


63 Medical Marijuana Is It Really Dope The Curbsiders


Pdf Investigation Of Somatic Cnvs In Brains Of Synucleinopathy Cases Using Targeted Snca Analysis And Single Cell Sequencing


Untitled9


Zou Group Publications


Handout3 Point Groups Schoenflies Notation Point Group C1 Cn Cs Ci Cnv Cnh Dn Dnd Dnh S2n Cv Dh T Th Td O Oh I Ih Selected Symmetry Elements E E Cn


Cbd Concentrate 1000 Milligram Zero High Thc Free Pure Cbd Isolate Powder


Answered Consider The Following Circuit In The Bartleby


Rambler X Th Cnvs Lthr Blk Wht Evesham Nj


Th0604n Fluoropolymer Tubing Fep Th Tih Series Smc Misumi Mexico


Cbd Vs Thc Properties Benefits And Side Effects


Comparing Ex Dividend Date Vs Date Of Record


The Challenges Of The Coming Mass Vaccination And Exit Strategy In Prevention And Control Of Covid 19 A Modelling Study Medrxiv


About Iphonetrabaohanh


A G Protein Coupled Receptor From Zebrafish Is Activated By Human Parathyroid Hormone And Not By Human Or Teleost Parathyroid Hormone Related Peptide Journal Of Biological Chemistry


Department Bulletin Agriculture Agriculture 34 Bulletin 1132 U S Department Of Agriculture Oq 1 Quot A Lt Amp V 1 E I E A A Lt Oo Oioiofhiooi Rr Rtwooma Oosa Loco Quot Cn R T Co Oo


Calculating Molar Mass And Number Of Moles Worked Example Video Khan Academy


Problem 3 Completeness As Discussed In Class Th Chegg Com


Solutions To Linear Algebra Stephen H Friedberg Fourth Edition Chapter 2


Dna Copy Number Variations In Children With Vesicoureteral Reflux And Urinary Tract Infections


コメント
コメントを投稿