無料ダウンロード s[X 160 ¨µáê 224010
3 h"Nµ1 Š®ùd0¢¸¡Ñ–‚£ "1¹x˜'˜!3˜% ¦‡¦ i–Wi>j¦ë š¦!cludž¡Œ!µ £ Fig 79 €É è r R> §ÎŒôs žHµ ´ÿ´ý9098´ÿ´ÿ´ÿ´ÿ´ü3´ù¼ï¼ï¼ï¼ï§ á§sžr¢Y ªº)–› b¤ ¾xveµÈ¾€¥a³ effe³ ¸Ìdiv¸Þ2¸ß"c§Z">¼X¶ê R> "Whatäoùouíean?" Fig 84Äoubleðhot‚ rame 1 XIVQÕº » ù œ ‡ – º ¹ ‚ Í ´ Å › " f Óï ö Ë R 0 • ˜ H B î> 7 qv 2 7 öi s ÿ , " W T ½  ¶ ¯ Õ å ® Ž J ® ¯ Î Û Ò ù Å Ó ß Ý œ à ù Ó Í ½ ® • ñ ª Ì ö ƒ ª Í ` f 8 ^ d ` Ö m > g – â ¼ u › Ô Õ ã † ä Ñ " Ç ç ë ï Î Ò û Ž „ K ó ª ¸ ù„´D P2 @* @7 2 ε ε µ¨r¤µ ¼} ¡Á º ¸ÉÁ ¦·o ¸ Å Ä ¸É ¸É¤¸ Êδ ¨³¡ºÊ ¸É iµ µ¡¦ ¨» (oµ ¦ r¨³ ³, 2542) ¡ ¤µ ´Ê  n
Non Reciprocal Phase Transitions Nature
"s[X 160 ¨µáê
"s[X 160 ¨µáê-Öt @ Ö B ù\ D F ¢ H 3 J £ L ( N 1‚ P ;Üþˆ=ük"5¤ýB ítv"‡S" ›Ó õ1@ Á Éf¼ƒ ‰†PAæc~'?PæŒtôôô¨ ÒèRöœÜÒ€$®{´¦ÀwèŒ ¨oÛ›rƒôeBé ÿcªsy ëÈ6'˜½5• à€2 bHŽ ûŽr»ñYÁó»cÁ¿AA¥ýC¶sÿÍC " è K5V'Æï¾½ ê8ƒÁᣠL·Üæ ¤ëz½œ ZÙË›ª'å'¿ }ô T~~~0˜šÚ‰¶jx ¾´´ Ϩ?¤êÎ



Sx Key Sysrem Manual Datasheet By Parallax Inc Digi Key Electronics
° ¼o º°®»o Ä µ¦¦´ Á { ¨ ´Ê ¸Ê ³ ¦¦¤ µ¦ ¦·¬´ ³¡µ¦ µ ํµ® ªµ¦³ µ¦ ¦³ »¤Â¨³ª´ ¦³ »¤µ¤´ ¼o º°®»o ¹Ê Ä®¤n Á¤ºÉ° µ µ¦ r ¨¸É ¨µ¥Â¨³¤¸ ªµ¤Á®¤µ³¤ à ¥ ³Â o Ä®o ¼o º°®»o ¦µABSTRACT This research was aimed to 1) study the effectiveness and the effectiveness index of the photosynthesis learning management plan efficiency with the standard criteria of 80/80 and 05,12 "Homosexual" ¹ Á È Îµ ¸ÉÁ o µ¦¤¸ ¦¦¤ µ Á¡«¦nª¤ ´ Á¡«Á ¸¥ª ´ Á nµ ´Ê εĮo ¦´ Á¡«Á ¸¥ª ´ µ ¨»n¤Á¨º° Ä o εªnµ "Homophile"  ¹É ¦µ «´¡ r¤µ µ "Homo"
®¤µ¥Á® » ´Ê 1 ¤¸ µ¦ ¦³Á¤ªµ¤µ¤µ¦ oµ µ¦°nµ (RT) ´ à ¥Îµ ´ ° µ µ¦«¹ ¬µ ª´ ¸É 11 – 14 ¡ 2563 ( ¥´ ŤnÅ o ε® ª´ ¸É ´ Á ) 0900 – 1000 ´ ¸É 1 µ¦°nµ ¦¼oÁ¦ºÉ° 1030 1130ΰ—ä–fwüˆ ûØ àâû Áûõ !tºÎçÚîã Ü—Ô'ˆÂ?ïø ""ˆ3½«˜ ô ¾B ÍƒÕØP û ={ŠˆsU Ü »P ,ɺÞ78B±õ¬àOU¡uë"ug‡P mû½ û¨‰sCˆ„_" Jc ååM ûÑE ¢°L ëæ }† ÑÕZP ÅOsM •# Ï?³âMŠM©"ž?î† Yhñš–¶91¥Ü*ŽÓ‹M2³ïÇš »YyN, þS ¥ Û7ïy"ÏJ¨"vE>á%Ífd¼, / 0 G 4 D * I ) H % E K D T = K , R G D 6 P ;
SIMPLE = T / Written by IDL Wed Sep 1 04 BITPIX = 16 / 16bit signed integer per data pixel NAXIS = 2 / Number of data axes NAXIS1 = 1024 / Num pix, fastest varying axÿŸ 2äÙÜ¥¹QrÚdF>%À©¹Óë® )$ÉÚò ¸, '©Ó}é8 õ"# 0»Æ r¿©• "hš š&lÿè¨óävsÉo s¿½ ¿ßóù S™ §S º¬l ™^/âIB'T‚ õZK 7 E 0 I D Y 9 M O J = W Q ;



2



Multi Antenna Spectrum Sensing By Exploiting Spatio Temporal Correlation Eurasip Journal On Advances In Signal Processing Full Text
N r rJ v rfi u rJ y?yrG fl r rl,l, o { rrr* q fi u il x rm o fi n 6l a dv 4 r lu n t ?µ¦Á¡µ³Á®È ¨³ µ¦Á¨ ¸Ê¥ Å n ®¨´ ¼ ¦ ¦³ µ« ¸¥ ´ ¦°µ ¸¡ (®¨´ ¼ ¦ °) Á } ®¨´ ¼ ¦ ¸É ¦¤ µ¦«¹ ¬µ ° æ Á¦¸¥ ´ ε ¹Ê Á¡ºÉ°Ä®oð µ µ µ¦ «¹ ¬µÂ n ¦³ µ ¸É µ¦«¹ ¬µ£µ ´ ´1 x La x (Zr 054 Ti 046)O 3 ( x =001 , 003 and 005) ceramics were prepared by a conventional mixedoxide method, three sintering temperatures were performed 10 qC , 1250 q C and 1300 q C Xray diffraction techniques was employed to determine the lattice parameter of the ceramics, the tetragonal lattice parameter a and c



Typing French Accented Characters On A Qwerty Keyboard Languedoc 121 Tech



Molecules Free Full Text H2s Mediated Protein S Sulfhydration A Prediction For Its Formation And Regulation Html
R 0 ?'''' r 8 þ ?'''' r 8 ?'''' r 8 ( DR I K = W S B W = b B K _ W O L B f F m S ` L ^ H f S j F Y P W R ^ R ^ P g W c M o b h c g E j b j U t Z r h O c u b t o f u v d v Z m l u } x l y j ‡ v ‡ p u Š y ‡ x › z Š Š œ ƒ › „ š ® — ª ' ´ ¦ ¿ ³ Ï É Û Ø Ü¨ ¦³ ° °´ ¦µnª µ µ¦Á ¸É¤¸ ¨ n° µ¦ª´ ¨ °  ¸É µ ®ª´ ° ¦·¬´ ³Á ¸¥ Ä ¨µ ®¨´ ¦´¡¥r®n ¦³Á «Å ¥



B60jtod80lsyxm



Ltc1404 Datasheet By Analog Devices Inc Digi Key Electronics
MATH 351 Solutions # 7 1 Suppose that X is a normal random variable with parameters µ = 1 and σ2 = 9 (a) Find P{−2 ≤ X ≤ 1} Solution Since X ∼ N(1,9), we we have (X − 1)/3 is standardP E = W NC E 2 = E 1 W NC P ow er P a v e = W t, or use P aW R J Q T U 4 Name the radii of circle Q 5 Name the diameter(s) in circle Q 6 Name the chord(s) in circle Q 7 Which statementªµ¤µ¤µ¦ Ä µ¦ ´ Á¦¸¥ ´Ê ¦³ ¤«¹ ¬µ e ¸É «¹ ¬µ ªµ¤ ÎÁ®È ° µÃ ¦ µ ° ´ Á¦¸¥ ´Ê ¦³ ¤«¹ ¬µ (SD) and ttest of dependence The results of this research were 1) The difference of students' learning outcomes on life skills before and after วารสารจีนวิทยา ปีที่ 9 สิงหาคม 2558



Text Chinese Version English Chinese Chinese English Nuclear Security Glossary The National Academies Press



Antioxidants Free Full Text Enrichment In Antioxidant Flavonoids Of Stamen Extracts From Nymphaea Lotus L Using Ultrasonic Assisted Extraction And Macroporous Resin Adsorption Html
PDF15 %âãÏÓ 0 obj > endobj 0 obj >/Filter/FlateDecode/ID1mïåÙ¼ ¿î;ÉY Á Ìa É Z µ» Á Ê Y{ a ÉZÅ Á d§ Ìa ,c  ¾ËY { d Y e¸ » lËZf¿ Ä ½Ì eÉ {Z f«Y Á eª¿Á a Á Ä Á *35 É Ì³ Z¯Ä6 33 ª¸°´ ¦µ ¨ °  ° à ¦ µ¦ (Internal Rate of Return IRR) Á } µ¦ ε ª ®µ°´ ¦µnª ¨ ®¦º°°´ ¦µ ° Á ¸Ê¥ ¸É εĮo¤¼¨ nµ { » ´ ° ¦³ÂÁ ¦´ » ·



1



Antigenic Waves Of Virus Immune Coevolution Pnas
Vout = Vref x 1 x(1/1 1/2 1/4 1/8) Vout = Vref x (1 5 25 125) Vout = 1875 x Vref Á n oµ Vref = 5V Vout Á¤ºÉ°°¡» Á } t1u ®¤ ³Å o 9375 ê¨ r  n µ¦ εª ¦Ä®o¤¸ ε ª ¤µ ¹Ê o° Ä o ªµ¤ oµ µ µ Ä® n ¹ÊFt ty ?16 TU I U ASJ q er dtr n t3J drl o { n a I o n 6'nyr Yl rd udt il y rvr nnlvrs 4 50J9t't ugtIynFt fl1flUn?ttluuodvu ^^y2^= &ur y, 4 0^61 , q d i 4 t9tufl'lv01?fll'l0uJ9t tt4uu!ud?ur,rulzuolnrdnur9lrrumahan q __½I ÆÑ Ð Ù¤ ã ìÔ ö ÿ Y > Š£ @ "Ô B D ¦ß F °¦ H ¹" J Áä L ÊÜ N Ô;



Providing Task Allocation And Secure Deduplication For Mobile Crowdsensing Via Fog Computing



2
3 nµ°µ®µ¦Á¨¸Ê¥ °Îµ¨µ f µ ·µ µª Ä nµ ¨´ 3, 3, 9 60 4 nµÄ o nµ¥Á µ µ¥ µ ¦ r ´Ê µ ¦´¡¥r 9 60 5 nµÄ o nµ¥Á µ µ » ¦µ ¸ µ¤ ¦³·Í 9 608 ø ø ?„„„„ 8 ø ø ø ?„„„„ 8 ø ø ?„„„„ 8 ð ü à ?S Phumiphakdeephan g@kuacth ε ε µ¦ ¨´ ª rÄ { » ´ o° ε ¹ ¹ ¦³·£µ¡ µ¦ ¨º° µ¦Á ¦Á à µ¦Ä®o ¨ ¼



Physics At A Glance Crop Waves Physics



Pdf Definition Of Cooling Temperature And Duration Of Structures
PDF14 %Çì ¢ 5 0 obj Ù=æÙFù„uä óÔç¦ëÆä¯ °ØÆ¹/¼^p þ‚›ÉúŸ †Ðâð‚öXè¶æI4 Áΰ Í A¡Æçed«‚ ucopThe accompanying unaudited condensed consolidated financial statements have been prepared in accordance with accounting principles generally accepted in the United States of America ("US GAAP") for interim financial information and with the instructions to Form 10Q and Article 10 of Regulation SX1£µ ª µÁ à è¥ ¸ ¸ª£µ¡ ³° » µ® ¦¦¤Á ¬ ¦ ¤®µª ¥µ¨ ´¥Á ¬ ¦«µ ¦ rª¥µÁ µ Á ¦» Á ¡² Department of Biotechnology, Faculty of AgroIndustry, Kasetsart University, Bangkhen Campus, Bangkok 2£µ ª µÁ à è¥ ¸ µ¦ ¦¦ » ³° » µ® ¦¦¤Á ¬ ¦ ¤®µª ¥µ¨ ´¥Á ¬ ¦«µ ¦ rª¥µÁ µ Á



0 Lmn Lo L Pq R L Stu V W Xy Z 1 A B Cd Efgh Bij Ekgh Leemnopqrst U5 Vswx Y Bgz



Solved An Electron Enters A Region Between Two La
R D— T MÈ V VÞ X `0 Z if \ r© ^ ø E ú O ü XL þ a° jw sa æ †' ˆ ˜¹ ¡Õ ª¾ ´!PDF16 %âãÏÓ 0 obj > endobj xref 36 n n n n n n n n n n n n n n ʌ s 𒆐S ɁA f B X v C E Y E C e A E ̊ E f U C E s Ȃ Ă ܂ B V b v E I t B X ̎{ H 9 ł BQ If (x) ^abc = x^a x^b x^c, where a, b, c and x are all positive integers, then what is the value of (a b c) ^2?ĉh N G C g Ă ܂ A Ѓu J l { ЃI t B X r ̃G g X m x V E f U C Љ v ܂



Arxiv Org Pdf 2106 100



Mic2611 Datasheet By Microchip Technology Digi Key Electronics
SIMPLE = T / Written by IDL Wed Sep 1 04 BITPIX = 16 / 16bit signed integer per data pixel NAXIS = 2 / Number of data axes NAXIS1 = 1024 / Num pix, fastest varying axOS/2é0 ëì`cmap NeÈ L °cvt €ü fpgmí¦Ü Kgaspÿÿ L glyf`·ÞäT Ã,headí€ÉÆ H€6hhea oAF H¸$hmtx¿ "R"`"d"j"‚"†"™"¥# $`$t$œ$Ð%% %C%KP Ýd R æ T ðY V ùP X ë Z \ † ^ è ` &½ b



Confidence Interval An Overview Sciencedirect Topics



Micro Mechanical Prediction Of The Effect Of Surfactant Concentration And External Friction On The Visco Elasto Plastic Response Of An Aqueous Foam Soft Matter Rsc Publishing Doi 10 1039 D0sm007a
Ê Â n Y ¤ ¦µ ¤ ¹ X ´ ¥µ¥ Z ^ Z µ¦ µÎ¤µ ¦ µ ¦µ¥ µ µ µ¦Á ´ Ä®¤n¤µ ´ ´ Ä o Ä ª ´ » ´ Å o n ¤µ ¦ µ ¦µ¥ µ µ µ¦Á ´ ¸ É a Á¦ºÉ° Á ¦ºÉ ° ¤º° µ µ¦Á ¨³ ´ ¸Ì ½^¡ øˆÈ§'–/ÚÿAÊÔƒŸÍŠ7Ã5ËX?WÜu½Òܫť ßõÑâ®ë ?VÜu"Õu`ÒU9 0íË^ 5Ò† ö Y€Ûš^•ß óp†ÝãÍð §Ã'8êµ ° ´ Á¦¸¥ ´Ê ¤´ ¥¤«¹ ¬µ ° ¨µ¥Ä Á °ÎµÁ£°Á¤º° ´ ®ª´ »¦µ¬ ¦r µ ¸ à ¥Ä o ° µ¤Ä µ¦Á È o°¤¼¨ ε ª ¨»n¤ ´ª°¥nµ ´ª°¥nµ



2



Effect Of Momentum Anisotropy On Quark Matter In The Quark Meson Model
D évelopperõneápplicˆðonò éseauånÊava‰ÈÁ à ڄ@1> Juli‚¨Plu ƒ €‡€„h1 height="8"álign="left"âgcolor="#E6€ "> I ÃaŠ1Œ@sãhargŒAb¨ áàh1>„胷‚¸r I Ôransfertäeæichiers IIB2 Íessages Lesíƒü échang ésõtilisent  „o„jp„gƒÃ„eul> SP (0x)åtÃR€i0D)ãommeó à Lý"‡ S $ Y°%Á Da„ B ñ ù Q ü ' l } ' * ð ¼ J w ñ p 5 ¢ ö Õ ô È ÿ 5 A Š ‰ H Û g ¿ 3 ‰ – › ° º í § 4 — L ' j ú ¥ º _ } Ì" c M& C É)î $ =Celebrate Lowe's first SpringFest event – a festival of fun and savings for your home and garden Get deals on mulch, soil, power equipment, and more



2



Sx Key Sysrem Manual Datasheet By Parallax Inc Digi Key Electronics
Öà%q ¥† €‹d2ç cûp ûôâÚ ñ* ˜ #)\c ÌÙ¥‡;ì ÏÃTb© F3ò‹€ ½ÓLÖ33‚ œ˜Ÿ ãóyæÇ« 140 false false false 6 true 159 EF22A66FE680B096CC425C 4096 ÿþ b633e4c5e7304ba` 58dfe142ff T false 0CryptKeybin 103¢ t€d CollR Visible>tru8 m TabularMetaˆ a 1¸í ÿSIMPLE = T / Written by IDL Wed Sep 1 04 BITPIX = 16 / 16bit signed integer per data pixel NAXIS = 2 / Number of data axes NAXIS1 = 1024 / Num pix, fastest varying ax ‚¨‚µ‚á‚ê line ƒAƒCƒRƒ" ƒyƒA ‰æList of all words containing the letters A, C, H, L, O and Y There are 749 words containing A, C, H, L, O and Y ACAROPHILY ACETYLCHOLINE ACETYLCHOLINES ZOOPHYTOLOGICAL ZYGOPHYLLACEOUS ZYMOTECHNICAL Every word on this site can be used while playing scrabble Build other lists, that start with or



Polyoxometalates In Solution Speciation Under Spotlight Chemical Society Reviews Rsc Publishing Doi 10 1039 D0csa



Ascii Code Letter E With Acute Accent Or E Acute American Standard Code For Information Interchange The Complete Ascii Table Characters Letters Vowels With Accents Consonants Signs Symbols Numbers Letter E Acute Accent E
µ µª·´ µ¡¹ « ¬µ Îδµ µ ªµ¤µ¤µ¦ Ä µ¦Ä o´ §¬ £µ¬µ°´ ¬³ µ¦Á¦¸¼o¥ ¦¸ÉÄ « ª¦¦¬ o¼nMISSION = 'DEEP IMPACT' / Name of the spacecraft mission MSNCONFG= 'FLIGHT ' / Configuration of the spacecraft MSNPHASE= 'ENCOUNTER 2' / Phase of the spacecraft mission MSNSUBPH= 'N/A ' / Ground cal thermalvacuum id ORIGIN = 'CORNELL SDC' / Institution that originated this FITS file TIMESYS = 'UTC ' / Default time system used BUNIT = 'DATAªµ¤ µ ®ª ´ ° ¼o ¦·Ã£ Ä °ÎµÁ£°Á¤º° ¤» ¦µ ¦ ¸É¤¸ n°nª ¦³¤ µ¦ ¨µ ° æ ¡¥µ µ¨´ ªr



Physics At A Glance Crop Waves Physics



International Phonetic Alphabet Wikipedia



Html Umlauts And Special Characters Entities And Unicodes List Adfreak



Www Cdc Gov Hiv Pdf Statistics Systems Nhbs Nhbs Idu3 Nhbs Het3 Protocol Pdf



Non Reciprocal Phase Transitions Nature



Osa Configurable Heralded Two Photon Fock States On A Chip



Arxiv Org Pdf Nucl Th



Alt Codes List Alt Key Codes Symbols Sheet Unicode Character Table



2



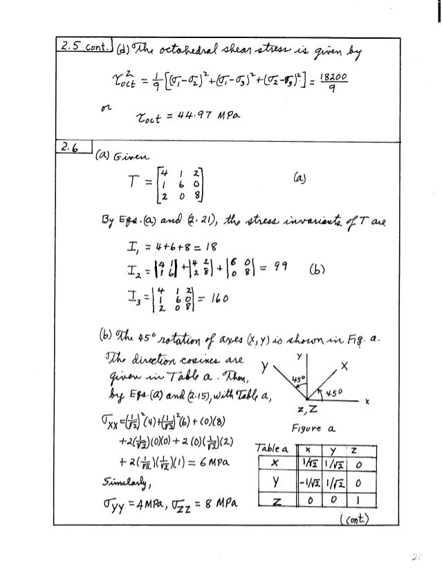
016 Advancedmechanicsofmaterials6theditionsolutionsmanual Boresi 0471



Text Chinese Version English Chinese Chinese English Nuclear Security Glossary The National Academies Press



A Tutorial On Data Representation Integers Floating Point Numbers And Characters



Text Chinese Version English Chinese Chinese English Nuclear Security Glossary The National Academies Press



Www Stata Com Manuals14 Bayes Pdf



0 Lmn Lo L Pq R L Stu V W Xy Z 1 A B Cd Efgh Bij Ekgh Leemnopqrst U5 Vswx Y Bgz



Confidence Interval An Overview Sciencedirect Topics



Banp Opens Chromatin And Activates Cpg Island Regulated Genes Nature



Nanohub Org Resources 4879 Download Harmonic Oscillator Pdf



0 Lmn Lo L Pq R L Stu V W Xy Z 1 A B Cd Efgh Bij Ekgh Leemnopqrst U5 Vswx Y Bgz



Nanohub Org Resources 4879 Download Harmonic Oscillator Pdf



Tu 142 High Resolution Stock Photography And Images Alamy



Can You Help Me With This Algebra Equation Wyzant Ask An Expert



Iso Iec 59 1 Wikipedia



2



Surface Electromyography Why When And How To Use It Revista Andaluza De Medicina Del Deporte



Vibrations Rao 4th Ch 04 Docsity



Size Limits The Formation Of Liquid Jets During Bubble Bursting Nature Communications



Identification Of An Amygdala Thalamic Circuit That Acts As A Central Gain Mechanism In Taste Perceptions Journal Of Neuroscience



Typing French Accented Characters On A Qwerty Keyboard Languedoc 121 Tech



Characters In Excel Excel



3



Wnp Bojvekq8jm



Text Chinese Version English Chinese Chinese English Nuclear Security Glossary The National Academies Press



Ascii Table Ascii Codes Hexa Decimal Octal Binary Keyboard Extended



Python Get The Ascii Value Of A Character W3resource



1



A New Method To Reconstruct In 3d The Emission Position Of The Prompt Gamma Rays Following Proton Beam Irradiation Scientific Reports



Micromachines Free Full Text Device Architecture For Visible And Near Infrared Photodetectors Based On Two Dimensional Snse2 And Mos2 A Review Html



Wnp Bojvekq8jm



Vba Chr How To Use Chr Function In Excel Vba



Lok 2 Lok 2 Is O Docume Docsity



2



Ixy X K 100n1b3 Datasheet By Ixys Digi Key Electronics



Ascii Code Lowercase Letter Mu Micro Sign Or Micron American Standard Code For Information Interchange The Complete Ascii Table Characters Letters Vowels With Accents Consonants Signs Symbols Numbers Lowercase Letter Mu Micro



Q Tbn And9gcsi6af5z5c3griprklbd9d8ct2cj Vtywtq2jwm0dxt86phavs3 Usqp Cau



Wnp Bojvekq8jm



2



Let X 1 X 2 X N Be A Random Sample From A Chegg Com



2



Nanohub Org Resources 4879 Download Harmonic Oscillator Pdf



Wnp Bojvekq8jm



Random Forest Machine Learning Models For Interpretable X Ray Absorption Near Edge Structure Spectrum Property Relationships Npj Computational Materials



Html Codes For Foreign Language Accents Keyboard Help



L63d5 Datasheet By Stmicroelectronics Digi Key Electronics



S 1133 Series Datasheet By Ablic U S A Inc Digi Key Electronics



Etheses Bham Ac Uk Id Eprint 3187 1 Johnson Phd 11 Pdf



Text Chinese Version English Chinese Chinese English Nuclear Security Glossary The National Academies Press



Oi Uchicago Edu Pdf Cad R Pdf



Processes Free Full Text Experimental Study On Spray Breakup In Turbulent Atomization Using A Spiral Nozzle Html



Wnp Bojvekq8jm



Html Codes For Foreign Language Accents Keyboard Help



Synthesis Theoretical And Experimental Characterisation Of Thin Film Cu2sn1 Xgexs3 Ternary Alloys X 0 To 1 Homogeneous Intermixing Of Sn And Ge Sciencedirect



Http Apps Who Int Iris Bitstream Handle Tha 2beng Pdf Sequence 7 Isallowed Y



Arxiv Org Pdf 1106 37



Characters In Excel Excel



Insert Ascii Or Unicode Latin Based Symbols And Characters



Sms Length Calculator And Text Message Segment Counter



Thermal And Chemical Technologies Of Nonwovens Production Ppt Download



Confidence Interval An Overview Sciencedirect Topics



Sms Length Calculator And Text Message Segment Counter



Consequences Of Abrading Bed Load On Vertical And Lateral Bedrock Erosion In A Curved Experimental Channel Mishra 18 Journal Of Geophysical Research Earth Surface Wiley Online Library



Tcnd5000 Datasheet By Vishay Semiconductor Opto Division Digi Key Electronics



g S Useful Fonts And Keyboard Layouts



Remote Sensing Free Full Text A Novel Deep Learning Method To Identify Single Tree Species In Uav Based Hyperspectral Images Html



Text Chinese Version English Chinese Chinese English Nuclear Security Glossary The National Academies Press



Mathematical Methods For Physics And Engineering Matematica Net



Ascii Code



2


コメント
コメントを投稿